티스토리 뷰
⚡ 전기기사/필기(전력공학)
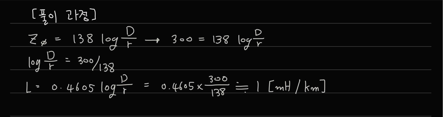
3상 3선식 송전선로가 소도체 2개의 복도체 방식으로 되어 있을 때 소도체의 지름 8[cm], 소도체 간격 36[cm], 등 가선간거리 120[cm]인 경우에 복도체 1[km]의 인덕턴스는 약 몇 [mH]인가 ?
eungwang1 2021. 4. 17. 23:503상 3선식 송전선로가 소도체 2개의 복도체 방식으로 되어 있을 때 소도체의 지름 8[cm], 소도체 간격 36[cm], 등 가선간거리 120[cm]인 경우에 복도체 1[km]의 인덕턴스는 약 몇 [mH]인가 ?
CBT 에서 전기기사 필기 기출문제를 풀면서 해설이 조금 보기 어려운 문제들을 정리해 보려고 합니다.
혹시 오류 있으면 댓글 남겨주시면 감사하겠습니다 !! 다들 전기기사 합격하는 그날까지 화이팅 😀😀
2014년 03월 02일 전기기사 필기 - 전력공학 문제
3상 3선식 송전선로가 소도체 2개의 복도체 방식으로 되어 있을 때 소도체의 지름 8[cm], 소도체 간격 36[cm], 등 가선간거리 120[cm]인 경우에 복도체 1[km]의 인덕턴스는 약 몇 [mH]인가 ?

글이 도움이 되셨다면
공감 및 댓글
남겨 주세요 !
글을 쓰는
원동력이 됩니다.
😀😀
'⚡ 전기기사 > 필기(전력공학)' 카테고리의 다른 글
댓글
250x250
공지사항
최근에 올라온 글
최근에 달린 댓글
- Total
- Today
- Yesterday
링크
TAG
- cbt
- 게더타운맵
- zep
- dummydata
- 전기기사실기CBT
- KEC반영
- TS
- 전기기사
- JavaScript
- 전기기사 필기
- shortid
- 산업안전기사 실기
- 게더타운
- 전자기학
- 전기기기
- 모두CBT
- 전기산업기사
- TypeScript
- gathertown
- 산안기 합격률
- nextjs
- 전기기사필기
- 전력공학
- 개더타운
- 실기CBT
- 전기공사기사
- fakerjs
- React
- 산업안전기사
- 전기기사실기단답
| 일 | 월 | 화 | 수 | 목 | 금 | 토 |
|---|---|---|---|---|---|---|
| 1 | 2 | 3 | 4 | 5 | 6 | |
| 7 | 8 | 9 | 10 | 11 | 12 | 13 |
| 14 | 15 | 16 | 17 | 18 | 19 | 20 |
| 21 | 22 | 23 | 24 | 25 | 26 | 27 |
| 28 | 29 | 30 | 31 |
글 보관함